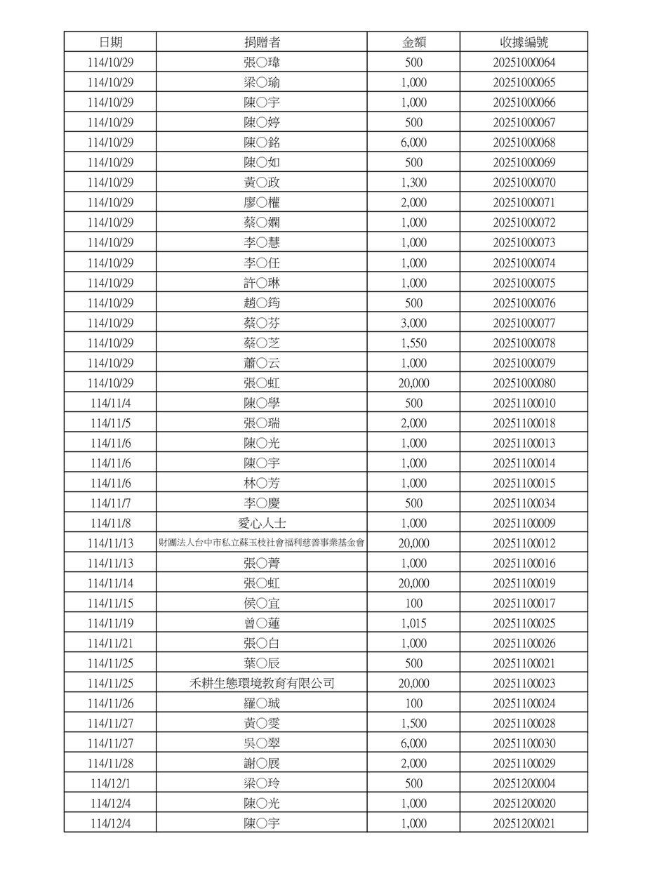
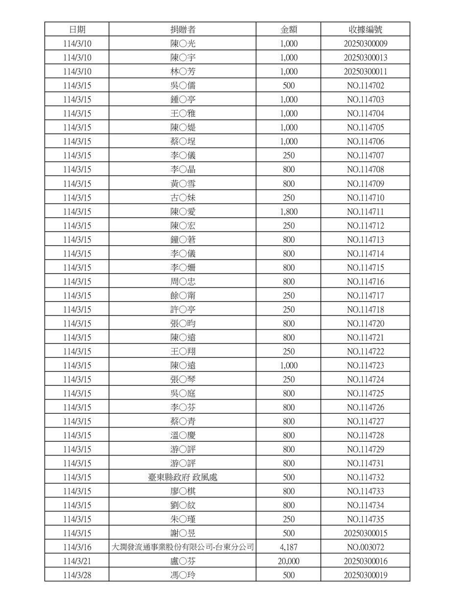
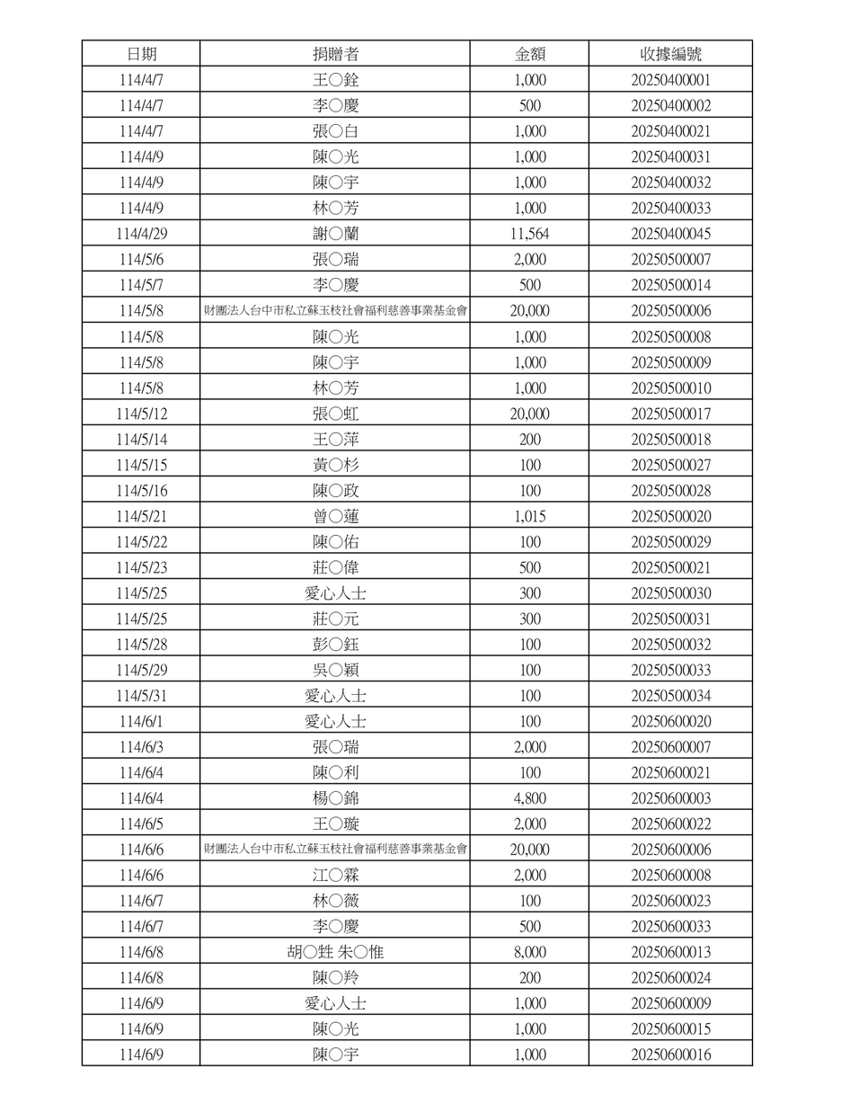
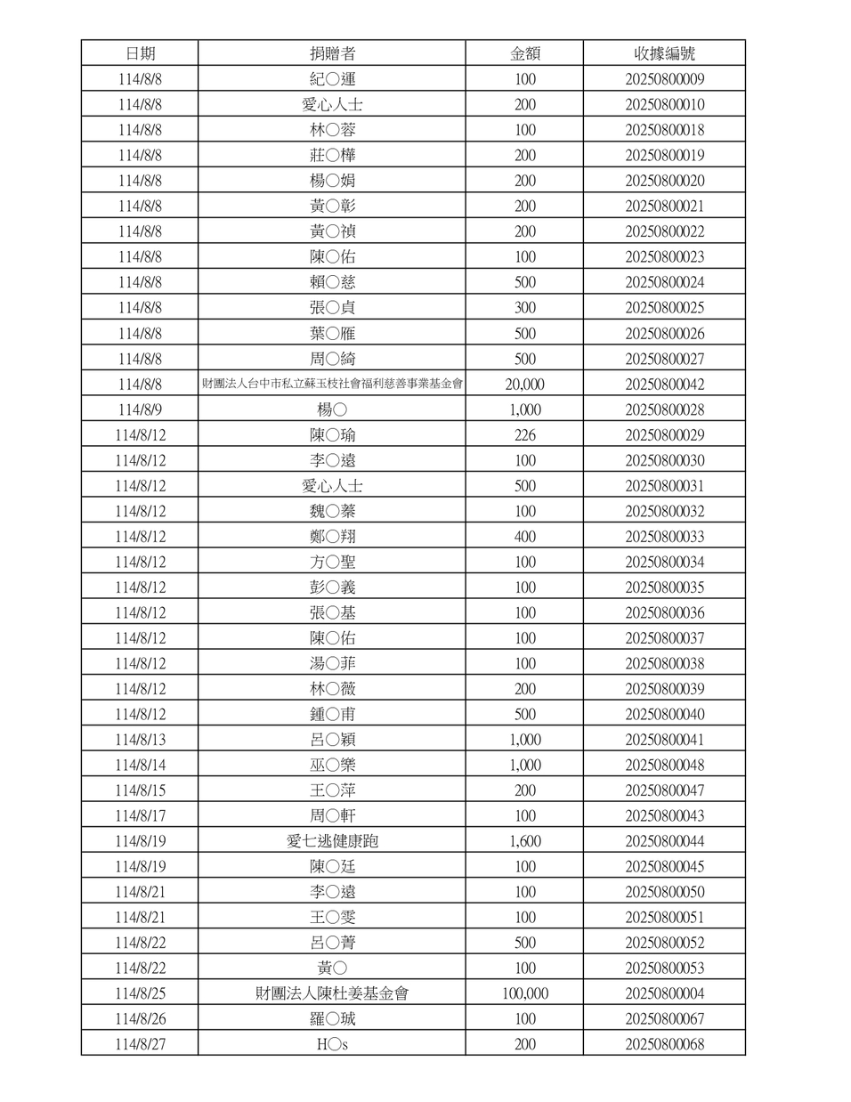
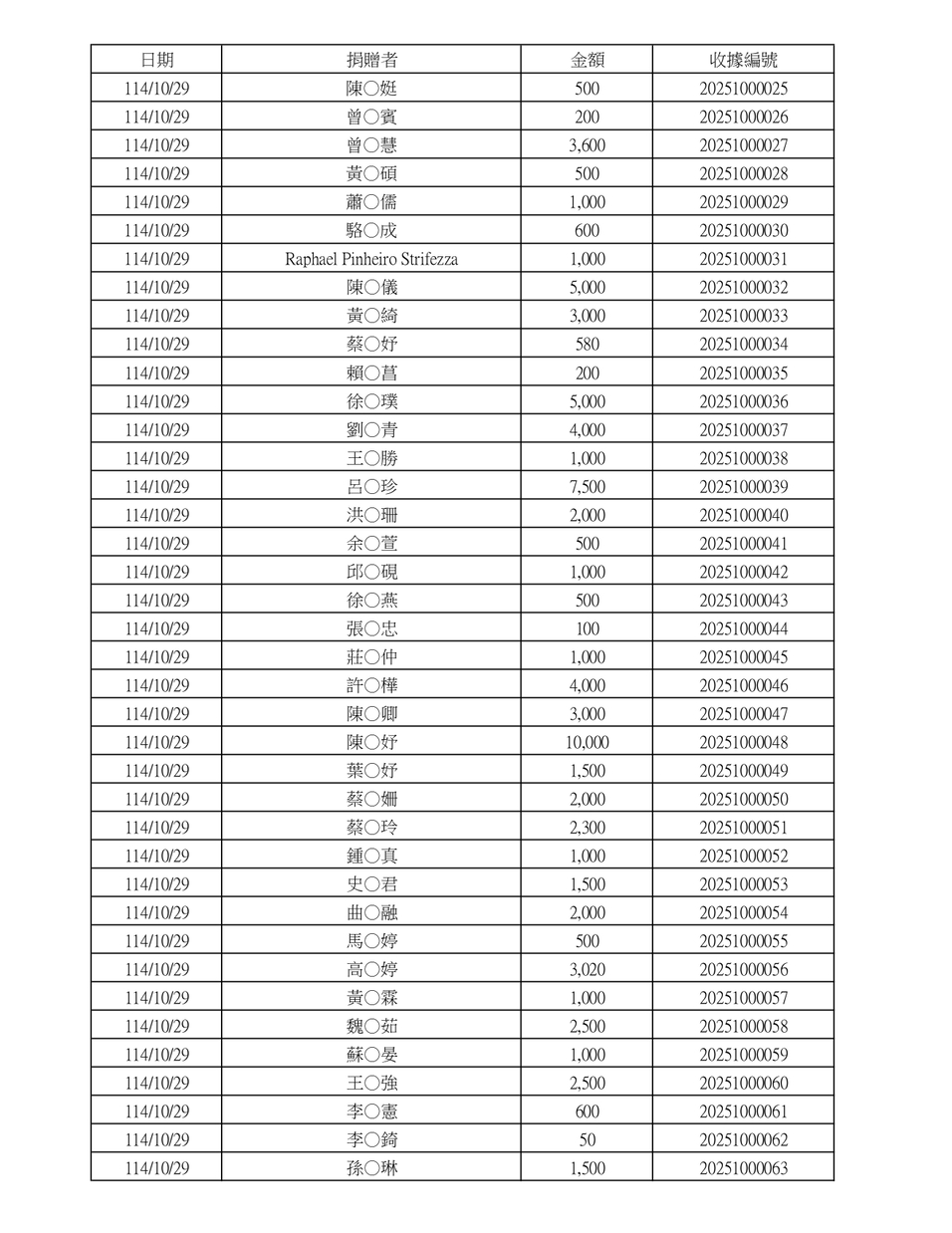
社會責信

114年一般捐贈徵信錄